Skip to content
  • #4 (no title)
  • Blog Feed

Մարիամ Մնացականյանի բլոգ

Մխիթար Սեբաստացի կրթահամալիրի Ավագ դպրոց 12 դասարան Շրջանավարտ

Category: Հանրահաշիվ

Posted in Հանրահաշիվ

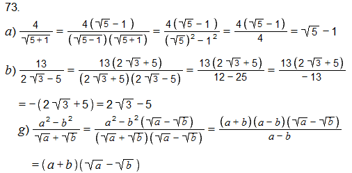
Տնային աշխատանք(մաթեմ)

Posted on September 25, 2019 by mariammnacakanyan

Դաս.5

Օրացույց…

May 2026
M T W T F S S
 123
45678910
11121314151617
18192021222324
25262728293031
« Apr    

Բաժիններ…

  • english
  • Հայոց Լեզվի Քերականություն
  • Հանրահաշիվ
  • Հաշվետվություն
  • Հասարակագիտություն
  • Հեռավար ուսուցում
  • Հունիսյան ճամբար
  • Հունվարյան ճամբար Արևելյան դպրոցում
  • Ճանփորդական պատում
  • Մաթեմատիկա
  • Նախագծային աշխատանք
  • Ուսումնական ճամփորդություն
  • Ուսումնական շաբաթ
  • Պատմության ընտրությամբ դասընթաց
  • Պատմություն
  • Վերլուծություն
  • Վրացերեն
  • հայոց լեզու
  • Անգլերեն
  • Գրականություն
  • Էկոլոգիա
  • Իմ առաջին տպավորությունը
  • Իմ մասին
  • Իրավունք
  • Uncategorized

Blog Stats

  • 19,942 hits
Blog at WordPress.com.
Privacy & Cookies: This site uses cookies. By continuing to use this website, you agree to their use.
To find out more, including how to control cookies, see here: Cookie Policy
  • Subscribe Subscribed
    • Մարիամ Մնացականյանի բլոգ
    • Already have a WordPress.com account? Log in now.
    • Մարիամ Մնացականյանի բլոգ
    • Subscribe Subscribed
    • Sign up
    • Log in
    • Report this content
    • View site in Reader
    • Manage subscriptions
    • Collapse this bar

Loading Comments...

    Design a site like this with WordPress.com
    Get started